Contoh Surat Backdated
Bekerja Sendiri Daftar Caruman I Saraan Kwsp Hari Ini Majalah Labur. Meskipun kebanyakan penerimaan gaji saat ini sudah dilakukan dengan menggunakan transfer bank.
Seperti kata pepatah datang tampak muka pergi tampak punggung.
. Mohon dapat disertai dengan dasar hukumnya. Contoh Surat Permohonan Bank Garansi Surat permohonan yang telah ditandatangani dilampirkan surat perintah kerja dan dilampirkan surat pernytaan backdate jika surat permohonan melebihi tanggal yang diajukan jika tidak maka surat pernyataan backdate tidak perlu dilampirkan. Demikian Surat Pernyataan ini dibuat secara sadar dan dipahami oleh Pemohon dalam rangka penerbitan Garansi BankPerubahan Garansi Bank pilih salah satu sesuai peruntukan dengan kondisi jangka waktu berlaku surut backdate dari tanggal penerbitannya dan menerima segala risiko yang timbul akibat penerbitan Perubahan Garansi Bank berikut.
Contoh Surat Izin Tidak Masuk Sekolah Karena Lomba 1. Https Www Pikm My Wp Content Uploads 2020 05 V2 Surat Edaran 28 Tarikh Akhir Caruman Kwsp Perkeso Pdf. A short summary of this paper.
Pengisian daftar isian perubahan data. Surat Bertulis Laporan Kesilapan Caruman Kwsp Pdf. Contoh Soal Pertidaksamaan Nilai Mutlak Kls 10.
Berikut adalah dikongsikan dengan mudah contoh surat pengesahan majikan. Contoh Surat Resmi dan Tidak Resmi Surat memang merupakan salah satu media komunikasi yang sangat populer dan tidak bisa ditinggalkan penggunaanya hingga saat iniWalaupun sudah ada banyak media komunikasi elektronik dan digital namun penggunaan surat masih tetap saja dibutuhkan untuk berbagai kebutuhan. Surat resmi merupakan surat yang ditulis dengan bahasa yang resmi atau baku.
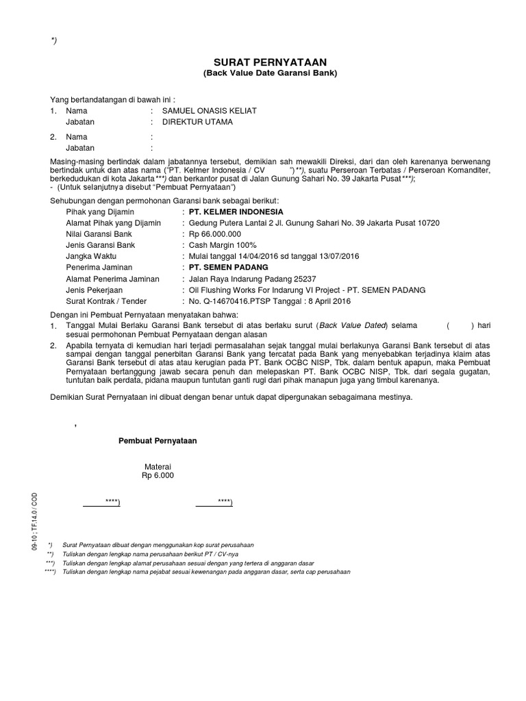
Selain fungsinya yang menyampaikan isi kepentingan resmi dan penggunaan. You have just read the article entitled Contoh Surat Berhenti Kerja Backdated. Contoh Surat Pernyataan Backdate Untuk Penerbitan.
Dengan ini menyatakan bahwa. Link Download Template Surat Berhenti Kerja Dalam Pelbagai Sektor Dalam Bm Bi. 15 Contoh Surat Kuasa Pengambilan gaji Paling Lengkap - Pengambilan gaji pada dasarnya hanya bisa dilakukan oleh orang yang bersangkutan.
Contoh Surat Rasmi Majikan Kepada Kwsp Surat Rasmi Untuk Kwsp Arasmi Surat Ucapan Terima Kasih Atas Bantuan Dana Alvarosan. Jadi usahakan untuk membuat tanggal pembuatan sama dengan tanggal izin. Contoh surat permohonan penerbitan garansi bank cara membuat.
Pada umumnya dipergunakan oleh seorang pimpinan dan ditujukan kepada bawahannya seperti contoh memo formal ataupun contoh memo internal perusahaan. Contoh Surat Pengecualian Caj Lewat Bayar Kwsp Cute766. Contoh Surat Berhenti Kerja Backdated Pdf.
Contoh Surat Permohonan Pindah Alamat Kantor KOP. 6 Contoh Surat Berhenti Kerja Contoh My. Contoh Surat Dukungan Bank Tangerang Nomor.
Contoh surat naik gaji ini adalah sekadar contoh semata-mata bagi anda yang ingin mendapatkan kepastian rupa bentuk surat penaikan gaji amnya. 4 Contoh Surat Berhenti Kerja Ikut Situasi Notis 24 Jam 2 Minggu Sebulan Versi Bm. Doc Surat Pernyataan Backdate Amie Aminah Azahra Academia Edu.
Tanda tangan hendtekening atau signature berfungsi untuk mengidentifikasi ciri-ciri penanda tangan dan menjamin kebenaran isi dari dokumen yang ditandatanganinya. Contoh Surat Memo Surat memo atau sering disebut dengan memorandum merupakan salah satu jenis surat yang masih seringkali dipergunakan hingga saat ini. Namun dilakukan pengecualian apabila pemilik gaji berhalangan untuk mengambil gaji secara langsung.
You can also bookmark this page with the URL. Surat tersebut perlu memaparkan maklumat pekerja seperti nama pekerja jawatan tempoh perkhidmatan dan sebagainya. Download Full PDF Package.
Bagi yang menerima imbuhan kenaikan gajimeraka yang telah berkhidmat sekurang-kurangnya setahun bergantung kepada jenis organisasisyarikat agensi dan sebagainya serta layak menerima kenaikan gaji. Ikuti contoh surat pengesahan majikan yang di kongsikan dibawah. Contoh Surat Pengunduran Diri Di Pabrik Garmen.
Contoh surat keterangan penghasilan dalam format word dan bisa di download ini bisa Anda jadikan pedoman agar proses pembuatan surat bisa berlangsung dengan cepat dan sesuai dengan aturan. Read Or Download Surat Berhenti Kerja Backdated Pdf For FREE Contoh Surat at DIGIVALEYCOM. Detail Nama Kelas.
Tanda tangan menjamin bahwa benar orang yang menandatangani suatu perjanjian sesuai dengan Kartu Tanda Penduduknya dan bahwa benar ia menyetujui klausul-klausul dalam perjanjian tersebut. Contoh Surat Berhenti Kerja 24 Jam Pdf Nusagates. Aspek Sosiologi Pembangunan Ekonomi Februari 1.
Beberapa sekolah seperti perguruan tinggi tidak menerima surat yang backdate atau masa lampau dari surat izin. Ini merupakan jenis surat resmi yang harus memberikan informasi dengan jelas dan benar. Adakah akibat hukum tertentu apabila perjanjian ditandatangani pada bulan April 2019 sementara jangka waktu perjanjian dimulai dari bulan Januari 2019 back date.
Contoh Surat Pembayaran Backdated Caruman Kwsp. Contoh Surat Berhenti Kerja Notis 24 Jam Sebulan Bm Dan English. Surat Izin Tidak Masuk Sekolah Karena Lomba.
37 Full PDFs related to this paper. Anda boleh menulis surat berhenti kerja dalam bahasa inggeris bahasa melayu ataupun dengan kata lain bahasa yang difahami oleh majikan anda. SURAT PERNYATAAN BACKDATE Amie.
Untuk itu surat penghasilan tidak bisa dibuat sendiri dengan asal-asalan. Post a Comment for Contoh Surat Penangguhan Caruman Kwsp. Contoh Surat Berhenti Kerja Backdated - Contoh Surat Berhenti Kerja Notis 1 Bulan Contoh Surat Pastikan ia pendek dan mudah.
Pengecualian Denda Kwsp. Anda juga boleh terus klik link ini untuk contoh surat. 4 Contoh Surat Berhenti Kerja Ikut Situasi Notis 24 Jam 2 Minggu Sebulan Versi Bm.
Contoh Surat Pernyataan yang disertakan untuk mengajukan penerbitan Bank Garansi apabila proses Garansi Bank melebihi tanggal pengajuan. Contoh Surat resmi tersebut dikeluarkan oleh instansi atau organisasi namun bisa juga dikeluarkan perorangan dan sifatnya formal karena kepentingan yang disebutkan di dalam surat bersifat resmi. Contoh Surat Permohonan Bank Garansi Surat permohonan yang telah ditandatangani dilampirkan surat perintah kerja dan dilampirkan surat pernytaan backdate Search for.
Contoh Surat Berhenti Kerja Terbaik Dan Ringkas Jawatan Kosong. Contoh Application Letter Kerja. Contoh Surat Pembayaran Backdated Caruman Kwsp.
Contoh Surat Permohonan Pencairan Garansi Bank have a graphic from the otherContoh Surat Permohonan Pencairan Garansi Bank It also will feature a picture of a kind that may be seen in the gallery of Contoh Surat Permohonan Pencairan Garansi Bank. Sidoarjo 20 Nov 2019.
7 Contoh Surat Pemutusan Hubungan Kerja Phk Yang Baik Dan Benar Surat Hubungan Tanggal
Contoh Surat Pembayaran Backdated Caruman Kwsp
Contoh Surat Pembayaran Backdated Caruman
Account Suspended Surat Pendidikan
Doc Surat Pernyataan Backdate Amie Aminah Azahra Academia Edu
Contoh Surat Pembayaran Backdated Caruman Kwsp
Brankas Arsipsumber Http Www Brankasarsip Com 2016 03 Contoh Surat Permohonan Pinjaman Uang Htmlsurat Permohonan Pin Surat Personalized Items Person
Contoh Surat Berhenti Kerja Backdated Pdf
Contoh Surat Rasmi Tidak Hadir Sekolah Belajar Surat Penyakit
Surat Sumbangan Surat Floral Watercolor
Contoh Surat Full Block Style Block Style Surat Lettering
Surat Letak Jawatan Surat Blog
Contoh Surat Pengecualian Caj Lewat Bayar Kwsp Wallpaper
Surat Pernyataan Back Dated Bg Pdf
I M Reading Contoh Surat Tidak Hadir Ke Sekolah On Scribd Surat Early Literacy Solar System Projects
Contoh Surat Rayuan Permohonan Kemasukan Ke Sekolah Menengah Teknik Lettering Free Website Templates Photoshop Styles


0 Response to "Contoh Surat Backdated"
Post a Comment